我院红树林湿地课题组揭示红树植物单宁的重要生理生态作用——抗氧化与抗菌功能背后的构效关系
2025年3月,深圳大学生命与海洋科学学院周海超副教授研究团队在生物学TOP期刊International Journal of Biological Macromolecules上在线发表题为“Unlocking the structure-activity relationship of mangrove condensed and hydrolysable tannins: Unveiling their potential ecological significance in antioxidant and antibacterial functions”的研究论文(图1)。该研究系统解析了红树植物缩合单宁与水解单宁的结构-活性关系,揭示了这两类天然多酚化合物在抗氧化与抗菌功能中的关键作用,为红树林生态功能保护与天然产物开发提供了潜在的新视角。
图1 相关研究论文已在线发表
红树林生态系统作为热带和亚热带潮间带的独特湿地生态系统,具有极高的生态价值。植物单宁一直被认为是红树林之所以为“红”的主要原因。单宁作为重要的植物次生代谢产物,在红树植物皮和叶片等组织中高达20-40%干重含量,具有独特的活性及复杂结构特征,对红树植物适应环境和调节红树林生态系统的生态过程起着关键作用。本研究探究了不同红树植物单宁的结构及其抗氧化活性关系,并进一步分析不同单宁对红树林沉积物微生物的影响作用。该研究以中国常见的三种红树林植物:秋茄(Kandelia obovata)、桐花树(Aegiceras corniculatum)和无瓣海桑(Sonneratia apetala)作为研究对象,利用基质辅助激光解析电离飞行时间质谱(MALDI-TOF MS)以及高效液相色谱电喷雾电离质谱(HPLC-ESI-MS)等技术,对叶片中的单宁结构进行了深入分析。研究发现,秋茄和桐花树富含缩合单宁(CT),其主要结构单元分别为原花青素(PC)和原儿茶素(PD),而无瓣海桑则以水解单宁(HT)为主的复杂单宁,水解单宁其主要结构单元为没食子酸(GA)和棓酸(EA)。


图2 不同红树植物单宁结构化学分析
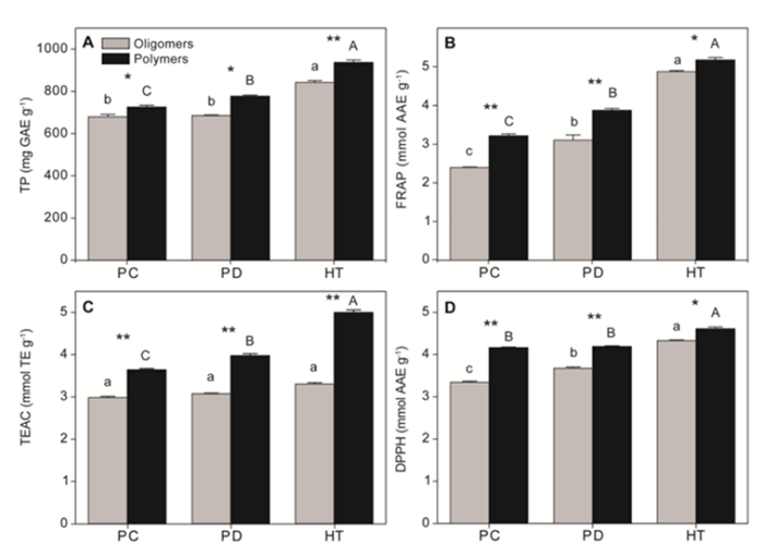
在抗氧化活性测试中,研究采用了Folin-Ciocalteu、FRAP、TEAC和DPPH四种方法,结果显示HT的抗氧化能力最强,其次是PD和PC,且聚合体的抗氧化活性普遍高于寡聚体(图3)。这主要归因于结构中对苯二酚和儿茶酚型羟基的数量和位置,HT因富含GA而具有更多的羟基,从而表现出更强的抗氧化活性(图2)。

图3 不同红树植物单宁抗氧化活性测试
抗菌活性测试则针对从红树林沉积物中分离出的10株细菌,包括放线菌门、变形菌门和拟杆菌门的多个属。结果表明,无瓣海桑的HT对所有测试菌株均表现出强烈的抑制作用,而秋茄树的CT抗菌效果与HT相当,且显著强于桐花树的CT,其中桐花树的CT对不同菌株的抑制效果差异显著(图4)。

图4 不同红树植物单宁抗菌活性测试
该项研究不仅系统地解析了红树林单宁的结构特征,还深入探讨了其抗氧化和抗菌活性的结构基础,为理解红树林生态系统中单宁的生态功能提供了重要的理论依据(图5)。研究结果有助于揭示红树林植物在生态系统中的适应性和进化策略,也为红树林生态系统的保护和可持续利用提供了科学指导。基于这些发现,有望开发出具有特定生态功能的红树林植物资源,为红树林生态修复和生物多样性保护提供新的思路和方法。

图5 红树林生态系统中植物单宁的抗氧化活性和抗菌活性机制的工作模型
深圳大学为第一完成单位,合作单位包括香港都会大学等,生命与海洋科学学院副研究员郎涛博士为第一作者,周海超副教授为论文通讯作者。本研究获国家自然科学基金委、广东省基础与应用基础研究基金、深圳市科技创新委员会创新项目、中国香港特别行政区研究资助委员会项目的资助。
论文链接:https://doi.org/10.1016/j.ijbiomac.2025.141918
生命与海洋科学学院
2025年3月31日